RD Sharma Class 12 Solutions Free online Chapter 3 Binary Operations Ex 3.2
Binary Operations Ex 3.2 Q1

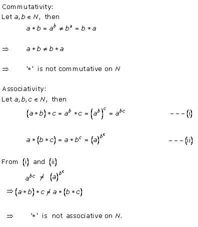
Binary Operations Ex 3.2 Q2

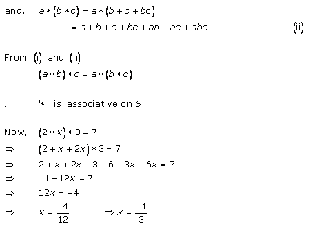
Binary Operations Ex 3.2 Q3

Binary Operations Ex 3.2 Q4(i)

Binary Operations Ex 3.2 Q4(ii)

Binary Operations Ex 3.2 Q4(iii)

Binary Operations Ex 3.2 Q4(iv)

Binary Operations Ex 3.2 Q4(v)

Binary Operations Ex 3.2 Q4(vi)

Binary Operations Ex 3.2 Q4(vii)

Binary Operations Ex 3.2 Q4(viii)

Binary Operations Ex 3.2 Q4(ix)

Binary Operations Ex 3.2 Q4(x)

Binary Operations Ex 3.2 Q4(xi)

Binary Operations Ex 3.2 Q4(xii)

Binary Operations Ex 3.2 Q4(xiii)

Binary Operations Ex 3.2 Q4(xiv)

Binary Operations Ex 3.2 Q4(xv)

Binary Operations Ex 3.2 Q5

Binary Operations Ex 3.2 Q6

Binary Operations Ex 3.2 Q7

Binary Operations Ex 3.2 Q8


Binary Operations Ex 3.2 Q9

Binary Operations Ex 3.2 Q10

Binary Operations Ex 3.2 Q11

Binary Operations Ex 3.2 Q12

Binary Operations Ex 3.2 Q13
