RD Sharma Class 12 Solutions Free online Chapter 3 Binary Operations Ex 3.4
Binary Operations Ex 3.4 Q1

Binary Operations Ex 3.4 Q2

Binary Operations Ex 3.4 Q3

Binary Operations Ex 3.4 Q4


Binary Operations Ex 3.4 Q5

Binary Operations Ex 3.4 Q6

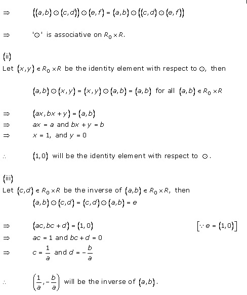
Binary Operations Ex 3.4 Q7

Binary Operations Ex 3.4 Q8
