RD Sharma Class 12 Solutions Indefinite Integrals Chapter 19 Ex 19.13
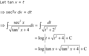
Indefinite Integrals Ex 19.13 Q1

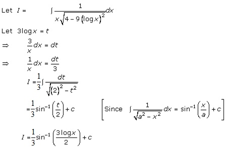
Indefinite Integrals Ex 19.13 Q2

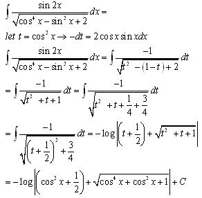
Indefinite Integrals Ex 19.13 Q3

Indefinite Integrals Ex 19.13 Q4

Indefinite Integrals Ex 19.13 Q5

Indefinite Integrals Ex 19.13 Q6

Indefinite Integrals Ex 19.13 Q7

Indefinite Integrals Ex 19.13 Q8

Indefinite Integrals Ex 19.13 Q9

Indefinite Integrals Ex 19.13 Q10

Indefinite Integrals Ex 19.13 Q11

Indefinite Integrals Ex 19.13 Q12

Indefinite Integrals Ex 19.13 Q13

Indefinite Integrals Ex 19.13 Q14

Indefinite Integrals Ex 19.13 Q15

Indefinite Integrals Ex 19.13 Q16

Indefinite Integrals Ex 19.13 Q17
