rd sharma solutions for class 12 free download Straight Line in Space Ex 28.5
rd sharma solutions for class 12 free download Straight Line in Space Ex 28.5 Q1.







2.







3.

img src=”https://farm8.staticflickr.com/7526/16252970295_60f04fbf9a_o.gif” width=”572″ height=”808″ alt=”RD Sharma Solutions For Class 12 Straight Line in Space Ex 28.5 Q3-ii”>




4.


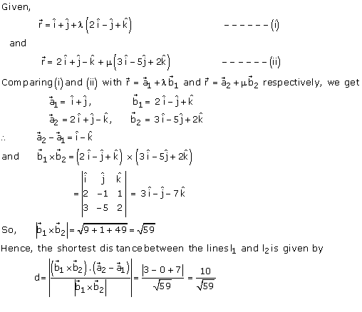
5.

6.

