CBSE Class 11 Maths Notes Chapter 10 Straight Lines
Distance Formula
The distance between two points A(x1, y1) and B (x2, y2) is given by

The distance of a point A(x, y) from the origin 0 (0, 0) is given by OA = \(\sqrt { { x }^{ 2 }+{ y }^{ 2 } }\)
Section Formula
The coordinates of the point which divides the joint of (x1, y1) and (x2, y2) in the ratio m : n internally, is

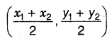
Mid-point of the joint of (x1, y1) and (x2, y2) is

X-axis divides the line segment joining (x1, y1) and (x2, y2) in the ratio -y1 : y2.
Y-axis divides the line segment joining (x1, y1) and (x2, y2) in the ratio -x1 : x2.
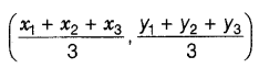
The coordinates of the centroid of the triangle whose vertices are (x1, y1), (x2, y2) and (x3, y3) is

Area of Triangle
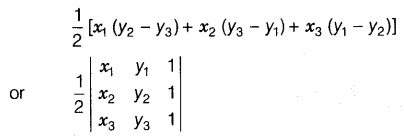
The area of the triangle, the coordinates of whose vertices are (x1, y1), (x2, y2)and (x3, y3) is the absolute value of

If the points (x1, y1), (x2, y2) and (x3, y3) are collinear, then x1 (y2 – y3) + x2 (y3 – y1) + x3 (y1 – y2) = 0.
Shifting of Origin
Let the origin is shifted to a point O'(h, k). If P(x, y) are coordinates of a point referred to old axes and P'(X, Y) are the coordinates of the same points referred to new axes, then x = X + h, y = Y + k.
Straight Line
Any curve is said to be a straight line if two points are taken on the curve such that every point on the line segment joining any two points on it lies on the curve. General equation of a line is ax + by + c = 0.
Slope or Gradient of Line
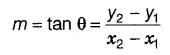
The inclination of angle θ to a line with a positive direction of X-axis in the anti-clockwise direction, the tangent of angle θ is said to be slope or gradient of the line and is denoted by m.
i.e. m = tan θ
The slope of a line passing through points P(x1, y1) and Q(x2, y2) is given by

Note: Slope of a line parallel to X-axis is zero and slope of a line parallel to Y-axis is not defined.
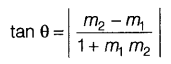
Angle between Two Lines
The angle θ between two lines having slope m1 and m2 is

- If two lines are parallel, their slopes are equal i.e. m1 = m2.
- If two lines are perpendicular to each other, then their product of slopes is -1 i.e. m1m2 = -1.
Various Forms of the Equation of a Line
If a line is at a distance k and parallel to X-axis, then the equation of the line is y = ± k.
If a line is parallel to Y-axis at a distance c from Y-axis, then its equation is x = ± c.
Slope-intercept form: The equation of line with slope m and making an intercept c on the y-axis, is y = mx + c.
One point-slope form: The equation of a line which passes through the point (x1, y1) and has the slope of m is given by y – y1 = m (x – x1).
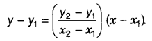
Two points form: The equation of a line passing through the points (x1, y1) and (x2, y2) is given by

The Intercept form: The equation of a line which cuts off intercepts a and b respectively on the x and y-axes is given by \(\frac { x }{ a } +\frac { y }{ b } =1\)

The normal form: The equation of a straight line upon which the length of the perpendicular from the origin is p and angle made by this perpendicular to the x-axis is α, is given by x cos α + y sin α = p.
General Equation of a Line
Any equation of the form Ax + By + C = 0, where A and B are simultaneously not zero is called the general equation of a line.
Different Forms of Ax + By + C = 0
Slope intercept form: If B ≠ 0, then Ax + By + C = 0 can be written as

If B = 0, then x = – C / A which is a vertical line, whose slope is not defined and x-intercept is – C/A.
Intercept form If C ≠ 0, then Ax + By + C = 0 can be written as

where a = – C / A and b = – C/B
If C = 0, then Ax + By + C = 0 can be written as Ax + By = 0 which is a line passing through origin and therefore has zero intercept on the axes.
Normal form: The normal form of equation Ax + By + C = 0 is x cos α + y sin α = p where

Note: Proper choice of signs to be made so that p should be always positive.
Position of Points is Relative to a Given Line
Let the equation of the given line be ax + by + c = 0 and let the coordinates of the two given points be P(x1, y1) and Q(x2, y2).
The two points are on the same side of the straight line ax + by + c = 0, If ax1 + by1 + c and ax2 + by2 + c have the same sign.
The two points are on the opposite sides of the straight line ax + by + c = 0, If ax1 + by1 + c and ax2 + by2 + c have opposite sign.
Condition of concurrency for three given lines
a1x + b1y + c1 = 0, a2x + b2y + c2 = 0 and a3x + b3y+ c3 = 0 is a3(b1c2 – b2c1) + b3(a2c1 – a1c2) + c3(a1b2 – a2b1) = 0
Point of intersection of two lines
Let equation of lines be ax1 + by1 + c1 = 0 and a2x + b2y + c2 = 0, then their point of intersection is

Distance of a Point from a Line
The perpendicular distanced of a point P(x1, y1)from the line Ax + By + C = 0 is given by

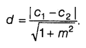
Distance Between Two Parallel Lines
The distance d between two parallel lines y = mx + c1 and y = mx + c2 is given by

Class 11 Maths Notes PDF Chapterwise
- Chapter 1 Sets Class 11 Notes
- Chapter 2 Relations and Functions Class 11 Notes
- Chapter 3 Trigonometric Functions Class 11 Notes
- Chapter 4 Principle of Mathematical Induction Class 11 Notes
- Chapter 5 Complex Numbers and Quadratic Equations Class 11 Notes
- Chapter 6 Linear Inequalities Class 11 Notes
- Chapter 7 Permutations and Combinations Class 11 Notes
- Chapter 8 Binomial Theorem Class 11 Notes
- Chapter 9 Sequences and Series Class 11 Notes
- Chapter 10 Straight Lines Class 11 Notes
- Chapter 11 Conic Sections Class 11 Notes
- Chapter 14 Mathematical Reasoning Class 11 Notes